邮箱登录
EN
首页
新闻动态
研究方向
概况
单位简介
组织机构
院士工作站
上海市重点实验室
博士后创新实践基地
人才队伍
研究员
工程师
博士后
行政管理人员
访问学者
科研成果
科研亮点
学术论文汇总
学术交流
学术报告
学术会议
招聘信息
研究人员
管理人员
服务指南
单位地址
周边住宿
单位素材
博士后招聘流程
首页
新闻动态
研究方向
概况
单位简介
组织机构
院士工作站
上海市重点实验室
博士后创新实践基地
人才队伍
研究员
工程师
博士后
行政管理人员
访问学者
科研成果
科研亮点
学术论文汇总
学术交流
学术报告
学术会议
招聘信息
研究人员
管理人员
服务指南
单位地址
周边住宿
单位素材
博士后招聘流程
科研亮点
首页
>
科研成果
>
科研亮点
科研成果
科研亮点
学术论文汇总
The last excitation of the first element
2026-01-06
How “Impermeable” Carbon Becomes Permeable under Pressure
2026-01-06
Nickelate Superconductivity Record: 96 K in Bulk Single Crystals Under Pressure - Dr. Charles Zeng
2025-12-03
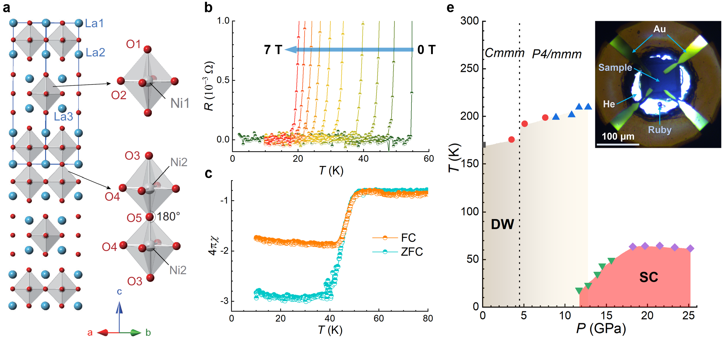
Discovery of pressure-induced bulk superconductivity in hybrid Nickelate La₅Ni₃O₁₁ single crystals -Dr. Charles Zeng
2025-09-06
Structural evidence for the mystery of oxygen's magnetic disappearance - Dr. Federico Gorelli
2025-08-13
Synthesis of bulk hexagonal diamond with optimized bond lengths - Dr. Ho-Kwang Mao
2025-07-31
Decompression-triggered chemical reactions in high-energetic materials– Dr. Lei Su
2025-07-08
Advanced crystallography unveils the passage of the metallization process of solid hydrogen - Dr. Ho-kwang Mao and Dr. Cheng Ji
2025-05-15
Retention of high-pressure solution-processable materials for advanced broadband photodetectors – Drs. Lingping Kong and Gang Liu
2025-04-01
Pressure induced bulk superconductivity in trilayer lanthanum nickelate single crystal - Dr. Charles Zeng
2025-04-01
Phase diagram of H2-HD-D2 all the way up to 350 GPa and all the way down to 10 K - Prof. Gregoryanz
2025-02-19
Diffusion-Driven Transient Hydrogenation in Metal Superhydrides- Dr. Thomas Meier
2025-02-06
The fast compression of sulfur in diamond anvil cell leads to a novel state of the element never observed before -Dr. Lei Su
2025-01-10
"Pressure aging" strategy: unlocking the research potential of high-pressure materials
2024-12-23
Lightweight, strong single-phase Al-alloy - Dr. Qiaoshi Zeng
2024-09-29
Accelerated relaxation dynamics in compressed cerium-based metallic glass
2024-09-29
Novel method enhances detection limits of trace volatile elements, shedding new light on planetary evolution - Drs. Thomas Meier and Renbiao Tao
2024-09-18
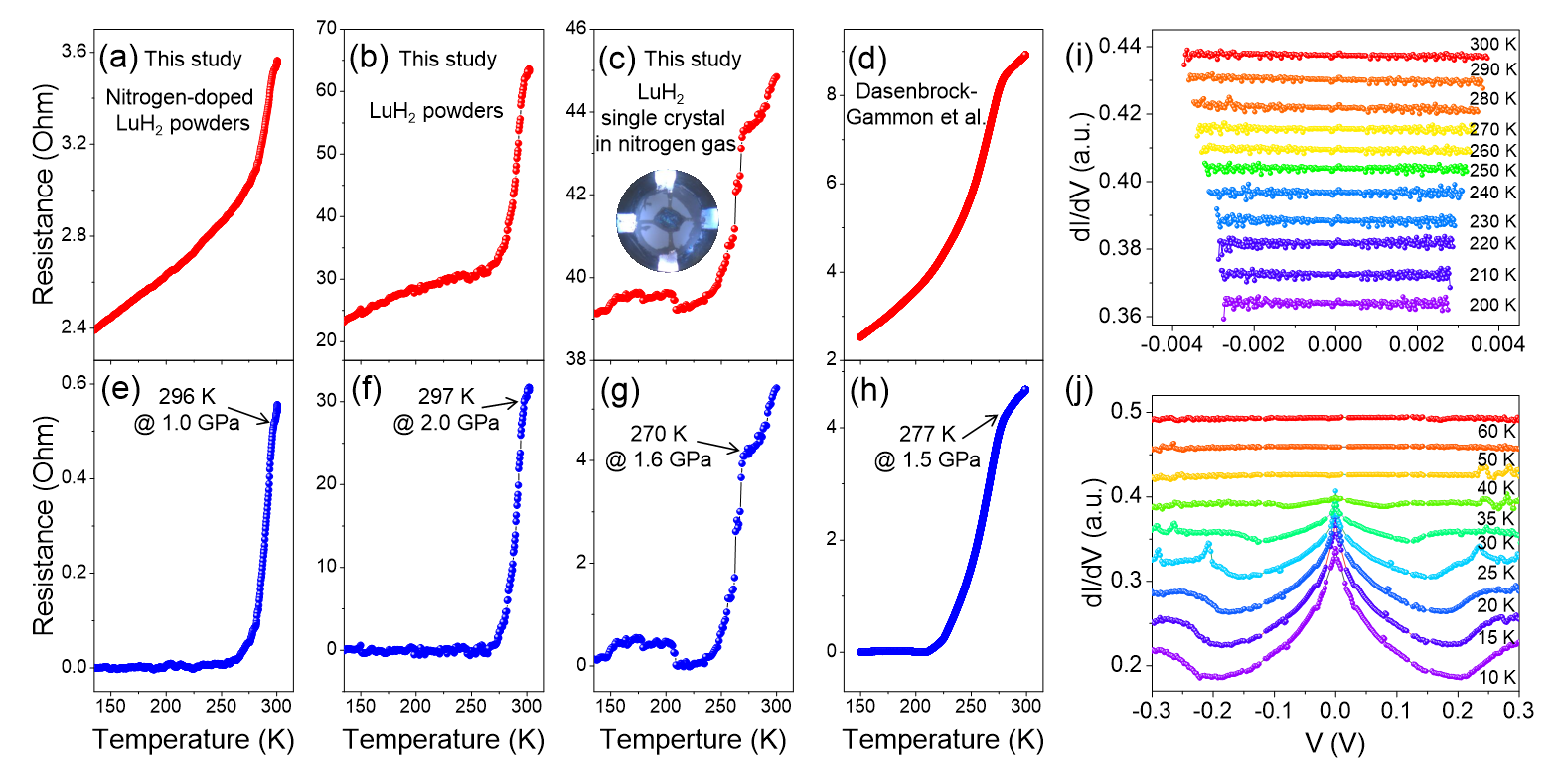
Resolving the Controversy: Understanding Near-Room Temperature Resistance Transition in the Lu-H-N System
2024-09-18
Unveiling a novel metal-to-metal transition in LuH2: Critically challenging superconductivity claims in lutetium hydrides - Drs. Yang Ding and Ho-kwang Mao
2024-09-13
New physical insights into Supercritical Fluid Dynamics: “gas-like” to liquid-like” transformation in supercritical fluid methane at the Widom line - Dr. Federico Gorelli
2024-09-10
共
1
页
20
条